Wednesday, 7 August 2013

Science is not your enemy (but it is a competitor)


Steven Pinker has written “Science is not your enemy: An impassioned plea to neglected novelists, embattled professors, and tenure-less historians” in New Republic.

http://www.newrepublic.com/article/114127/science-not-enemy-humanities#

Like any good neighbour trying to defuse an argument between angry householders about boundaries,  he is friendly, conciliatory, diplomatic and seeking a way forwards.

He begins with flattery: “The great thinkers of the Age of Reason and the Enlightenment were scientists.” This not quite right. He then goes on to argue that thinkers like Descartes, Spinoza, Hobbes, Locke, Hume, Rousseau, Leibniz, Kant, Smith “are all the more remarkable for having crafted their ideas in the absence of formal theory and empirical data.”   Describing these thinkers in the modern idioms of “cognitive neuroscientists”,  “evolutionary psychologists” and “social psychologists”, even with helpful explanations appended, slightly compounds the problem. These powerful thinkers were able to span different domains of knowledge, as powerful thinkers still do so today, by being more interesting in questions than in subject boundaries. The named thinkers did not know they were “scientists” because the word had not been invented until William Whewell satirically coined it in 1833 (to no general aclaim, because it sounded too much like atheist). He invented it without enthusiasm, because he was actually complaining about the fact that knowledge at that time was subject to “an increasing proclivity of separation and dismemberment".

Dismemberment of knowledge is what we have been left with. A pity. Balkanisation leads to conflict, or recognises that there are conflicts which cannot be resolved without separating the contending parties. C.P.Snow and S.Pinker are right to bemoan it.

In partial defence of specialisation, sometimes knowledge requires advance parties, who rush ahead looking for interesting things, while the rest follow far behind. So long as the explorers are willing to wait for others to catch up, recounting their findings to the laggards, all is well in the house of knowledge.

Herein lies the problem which Pinker did not address. In polite and courteous company it is not seemly to allude to the fact that some people think faster and wider and more powerfully than others. Apart from doing science, scientists also read novels, history books, biographies, and watch cinema. They also write novels and poems and ride motorcycles. Non-scientists also read science, but that traffic is probably not as frequent, and is usually restricted to popular science with the maths left out,  whereas everyone reads novels and watches films together.

The separation comes about because of difficulty. There is no way round the fact that STEM subjects (Science, Technology, Engineering and Maths) are harder. School children know that maths and science are more difficult to learn. There is always a large appreciative audience if a child says that they find maths difficult. There is less sympathy if a child admits to finding geography difficult.

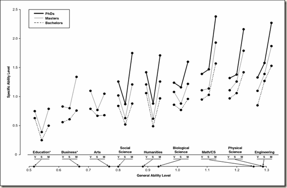
The difference in choice of subjects according to levels of intellect has been laid bare by Lubinski and Benbow. I will keep repeating this slide.
image
People in Engineering, Physical Science and Maths are brighter overall than those in the Humanities, Biological and Social Sciences and the Arts. This is particularly true of mathematical skills and spatial skills. Biological and Social Scientists and Humanities scholars aren’t stupid, but they are relatively low on spatial visualisation (which seems to be very helpful to scientists) and they are generally outclassed in mathematics. (Lord Kelvin: Do not imagine that mathematics is harsh and crabbed, and repulsive to common sense. It is merely the etherealisation of common sense. Mathematics is the only true metaphysics.) The groups are far closer together on verbal skills, which means they can talk and argue with vigour, but the scientists will often have their spatial and mathematical hands tied behind their backs if there is to be any conversation on serious subjects. It is permissible to complain: “Don’t blind me with science” but less common to complain of being blinded by ordinary arguments.

Bluntly, without some background in scientific methods, all sorts of mistakes can be repeated ad nauseam. (They argue without proofs, and errors are the result.) Without the ability to count, judgments are as impressionistic as mediaeval accounts of the size of armies. Science offers a way to correct some errors of understanding: it is simply a way of avoiding some common mistakes in making sense of the world. Among the rules of thumb: not basing everything on one’s individual viewpoint; asking for hypotheses to be specific, testable, and stated in advance; requiring that measurements  can be checked by others; and all this to be carried out in an ethos of open-mindedness and sharing of results and methods, so that errors are corrected quickly. Of course, it is not always like that, because it is being carried out by humans, even if those humans have set themselves tasks formerly assigned to the gods.

Pinker’s friendly effort reminds me of an excursion into the public understanding of science which the Royal Society initiated about a year ago. RS President Paul Nurse was roped in to convince people that scientists were human, that science was fun, and that more people ought to try it. It was a bit like having a priest organise a junior Church dance in which they promised boogy-woogy rock and roll. A painful episode of “Dad-dancing”, it seemed to me. They would have done better to just keep showing Sir Paul on a motorbike (no image available). Any child knows that anything a parent describes as fun will be boring, because if it really was fun parents would try to talk you out of it. “Don’t ride a big motorbike like scientists do” should be a public health warning (and a recruiting strategy).

Anyway, back to making friends between arts and science folk, and bridging the two cultures divide. Why bother? To many Arts/Humanities practitioners, Science is certainly the Enemy. It shows them up, makes them feel stupid and, what’s worse, scientists get to play with bigger and better toys. Scientists get to talk about discoveries, because they are our explorers. The arty crowd are right to feel that the lab workers and nerds are winning the competition. Quite properly, governments need science, and understand they have to pay for it. Artsy people will keep doing their stuff anyway, even when there is neither pay nor market for their scribblings. Science is pushing ahead precisely because it is much harder to prove that something has been discovered, so whatever survives sustained attack is accepted, temporarily as probably true. “Probably true” is as good as it gets. Those “probably true” findings are propelling us forwards.

In summary, accept that the two cultures are in competition, and science is currently ahead in funding.
Disclosure: Keele University offered a one year Foundation Course, which gave equal balance to science and arts subjects, and in the subsequent three years required all students to take an Arts subject if they majored in Science, and a Science subject if they majored in Arts. So, in my case, joint Honours in Psychology and Philosophy, with minor subjects in Physics and English. None of my teachers are responsible for my opinions, but they probably contributed quite a lot to them.

6 comments:

  1. >Mathematics is the only true metaphysics.

    This doesn't look like a mathematical sentence, but it certainly looks metaphysical.

    ReplyDelete
  2. "Dismemberment of knowledge is what we have been left with": or to put it otherwise, Division of Labour, the merits of which were so shrewdly described by Smith. As were its shortcomings.

    ReplyDelete
  3. In Roe's 1951 study of the IQs of scientists, the theoretical physicists did extremely well on verbal ability - often better than mathematical or visuospatial! Possibly in 1951 theoretical physics was more akin to philosophy, dependent on the mental manipulation of verbal concepts (verbal reasoning); and philosophers score better on verbal than mathematical ability.

    ReplyDelete
  4. Interesting observation. I wonder if the same held true of those bright enough to take part in the Manhattan Project. (The few I knew were very verbal, so there may be nothing in it!)

    ReplyDelete
    Replies
    1. You knew people in the manhattan project!?

      Delete
    2. http://drjamesthompson.blogspot.co.uk/2013/04/fancy-some-sex-cousin.html
      I had mentioned Joe Rotblat before (post above). He used to tell very good stories about the other guys. He took me to a Pugwash conference, and when I put together a meeting with him and Wilkins (who got the DNA Nobel with Crick and Watson)and others it resulted in a letter we wrote together about atomic fallout after the Chritmas Island tests. J.W.Boag, J.Fielding, J.H.Humphrey, A.Jacobs, P.Lindhop, J.Rotblat, and J.Thompson. Cancer following nuclear weapons tests. The Lancet, April 9, 1983, 815.
      Joe Rotblat was told that his project had "an unlimited budget". He was in a hut in the desert at Los Alamos. "Can we buy anything?" he asked. "Sure" his colleagues replied. Wanting to test the system, without abusing it too much, they ordered an old style barber's chair, claiming they were so busy on their secret work that they did not have time to go to have their hair cut. It duly arrived, and they gave it pride of place in the lobby of the hut.
      In 1945 or thereabouts Joe was about to be put up for Fellowship of the Royal Society, but when he left the Manhattan project feeling that it had achieved its purpose in defeating the Nazis, and went into medical research, he was told that he had been passed over. However, he got a Nobel at the end.

      Delete